Psi
From Textus Receptus
Psi (uppercase Ψ, lowercase ψ; pronounced ˈsaɪ sigh or ˈpsaɪ|, psigh) is the 23rd letter of the Greek alphabet and has a numeric value of 700. In both Classical and Modern Greek, the letter indicates the combination /ps/ (like in English "lapse"). The letter was adopted into the Old Italic alphabet, and its shape is continued into the Algiz rune of the Elder Futhark. Psi was also adopted into the early Cyrillic alphabet as Ѱ. In Greek loanwords in Latin and modern languages with Latin alphabets, Psi is usually transliterated as "ps". In English, due to phonotactic constraints, its pronunciation is usually simplified to /s/ at the beginning of a word.
Meanings
The letter psi is commonly used in physics for representing a wavefunction in quantum mechanics, particularly with the Schrödinger equation and bra-ket notation: <math>\langle\phi|\psi\rangle</math>. It is also used to represent the (generalized) positional states of a qubit in a quantum computer.
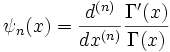
Psi is also used as the symbol for the polygamma function, defined by
where Γ(x) is the gamma function.
The letters Ψ or ψ can also be a symbol for:
- psychology, psychiatry, and sometimes parapsychology (involving paranormal or relating with the supernatural subjects, especially research into extrasensory perception).
- In mathematics, the reciprocal Fibonacci constant.
- Water potential in movement of water between plant cells.
- In biochemistry, it denotes the rare nucleotide pseudouridilic acid.
- Stream function in fluid mechanics defining the curve to which the flow velocity is always tangent.
- One of the dihedral angles in the backbones of proteins
- The planet Neptune
- The Schrödinger equation and throughout quantum mechanics, ψ(x) stands for the wave function
- Indiana University (as a superimposed I and U)
- Gangster Disciples
- A Sai, the name of which is pronounced the same way.
- Pharmacology, general pharmacy
- In virology the ψ site is a viral packaging signal.
- The J/ψ meson, in particle physics.
- In the computability theory,
represents the return value
of a program
.
- In the comic Monochrome, Psi is a mentally disturbed character, though her name is usually spelled out.
- In the television show Babylon 5, Ψ is the symbol of the Psi Corps.
- In circadian physiology, ψ represents the phase relationship between a zeitgeber and a biological rhythm.
See also
Notes and references
|
𝔓1 · 𝔓2 · 𝔓3 · 𝔓4 · 𝔓5 · 𝔓6 · 𝔓7 · 𝔓8 · 𝔓9 · 𝔓10 · 𝔓11 · 𝔓12 · 𝔓13 · 𝔓14 · 𝔓15 · 𝔓16 · 𝔓17 · 𝔓18 · 𝔓19 · 𝔓20 · 𝔓21 · 𝔓22 · 𝔓23 · 𝔓24 · 𝔓25 · 𝔓26 · 𝔓27 · 𝔓28 · 𝔓29 · 𝔓30 · 𝔓31 · 𝔓32 · 𝔓33 · 𝔓34 · 𝔓35 · 𝔓36 · 𝔓37 · 𝔓38 · 𝔓39 · 𝔓40 · 𝔓41 · 𝔓42 · 𝔓43 · 𝔓44 · 𝔓45 · 𝔓46 · 𝔓47 · 𝔓48 · 𝔓49 · 𝔓50 · 𝔓51 · 𝔓52 · 𝔓53 · 𝔓54 · 𝔓55 · 𝔓56 · 𝔓57 · 𝔓58 · 𝔓59 · 𝔓60 · 𝔓61 · 𝔓62 · 𝔓63 · 𝔓64 · 𝔓65 · 𝔓66 · 𝔓67 · 𝔓68 · 𝔓69 · 𝔓70 · 𝔓71 · 𝔓72 · 𝔓73 · 𝔓74 · 𝔓75 · 𝔓76 · 𝔓77 · 𝔓78 · 𝔓79 · 𝔓80 · 𝔓81 · 𝔓82 · 𝔓83 · 𝔓84 · 𝔓85 · 𝔓86 · 𝔓87 · 𝔓88 · 𝔓89 · 𝔓90 · 𝔓91 · 𝔓92 · 𝔓93 · 𝔓94 · 𝔓95 · 𝔓96 · 𝔓97 · 𝔓98 · 𝔓99 · 𝔓100 · 𝔓101 · 𝔓102 · 𝔓103 · 𝔓104 · 𝔓105 · 𝔓106 · 𝔓107 · 𝔓108 · 𝔓109 · 𝔓110 · 𝔓111 · 𝔓112 · 𝔓113 · 𝔓114 · 𝔓115 · 𝔓116 · 𝔓117 · 𝔓118 · 𝔓119 · 𝔓120 · 𝔓121 · 𝔓122 · 𝔓123 · 𝔓124 · 𝔓125 · 𝔓126 · 𝔓127 · 𝔓128 · 𝔓129 · 𝔓130 · 𝔓131 · 𝔓132 · 𝔓133 · 𝔓134 · 𝔓135 · 𝔓136 · 𝔓137 · 𝔓138 · 𝔓139 · 𝔓140 ·
List of New Testament minuscules
1 · 2 · 3 · 4 · 5 · 6 · 7 · 8 · 9 · 10 · 11 · 12 · 13 · 14 · 15 · 16 · 17 · 18 · 19 · 20 · 21 · 22 · 23 · 24 · 25 · 26 · 27 · 28 · 29 · 30 · 31 · 32 · 33 · 34 · 35 · 36 · 37 · 38 · 39 · 40 · 41 · 42 · 43 · 44 · 45 · 46 · 47 · 48 · 49 · 50 · 51 · 52 · 53 · 54 · 55 · 56 · 57 · 58 · 59 · 60 · 61 · 62 · 63 · 64 · 65 · 66 · 67 · 68 · 69 · 70 · 71 · 72 · 73 · 74 · 75 · 76 · 77 · 78 · 79 · 80 · 81 · 82 · 83 · 84 · 85 · 86 · 87 · 88 · 89 · 90 · 91 · 92 · 93 · 94 · 95 · 96 · 97 · 98 · 99 · 100 · 101 · 102 · 103 · 104 · 105 · 106 · 107 · 108 · 109 · 110 · 111 · 112 · 113 · 114 · 115 · 116 · 117 · 118 · 119 · 120 · 121 · 122 · 123 · 124 · 125 · 126 · 127 · 128 · 129 · 130 · 131 · 132 · 133 · 134 · 135 · 136 · 137 · 138 · 139 · 140 · 141 · 142 · 143 · 144 · 145 · 146 · 147 · 148 · 149 · 150 · 151 · 152 · 153 · 154 · 155 · 156 · 157 · 158 · 159 · 160 · 161 · 162 · 163 · 164 · 165 · 166 · 167 · 168 · 169 · 170 · 171 · 172 · 173 · 174 · 175 · 176 · 177 · 178 · 179 · 180 · 181 · 182 · 183 · 184 · 185 · 186 · 187 · 188 · 189 · 190 · 191 · 192 · 193 · 194 · 195 · 196 · 197 · 198 · 199 · 200 · 201 · 202 · 203 · 204 · 205 · 206 · 207 · 208 · 209 · 210 · 211 · 212 · 213 · 214 · 215 · 216 · 217 · 218 · 219 · 220 · 221 · 222 · 223 · 224 · 225 · 226 · 227 · 228 · 229 · 230 · 231 · 232 · 233 · 234 · 235 · 236 · 237 · 238 · 239 · 240 · 241 · 242 · 243 · 244 · 245 · 246 · 247 · 248 · 249 · 250 · 251 · 252 · 253 · 254 · 255 · 256 · 257 · 258 · 259 · 260 · 261 · 262 · 263 · 264 · 265 · 266 · 267 · 268 · 269 · 270 · 271 · 272 · 273 · 274 · 275 · 276 · 277 · 278 · 279 · 280 · 281 · 282 · 283 · 284 · 285 · 286 · 287 · 288 · 289 · 290 · 291 · 292 · 293 · 294 · 295 · 296 · 297 · 298 · 299 · 300 · 301 · 302 · 303 · 304 · 305 · 306 · 307 · 308 · 309 · 310 · 311 · 312 · 313 · 314 · 315 · 316 · 317 · 318 · 319 · 320 · 321 · 322 · 323 · 324 · 325 · 326 · 327 · 328 · 329 · 330 · 331 · 332 · 333 · 334 · 335 · 336 · 337 · 338 · 339 · 340 · 341 · 342 · 343 · 344 · 345 · 346 · 347 · 348 · 349 · 350 · 351 · 352 · 353 · 354 · 355 · 356 · 357 · 358 · 359 · 360 · 361 · 362 · 363 · 364 · 365 · 366 · 367 · 368 · 369 · 370 · 371 · 372 · 373 · 374 · 375 · 376 · 377 · 378 · 379 · 380 · 381 · 382 · 383 · 384 · 385 · 386 · 387 · 388 · 389 · 390 · 391 · 392 · 393 · 394 · 395 · 396 · 397 · 398 · 399 · 400 · 401 · 402 · 403 · 404 · 405 · 406 · 407 · 408 · 409 · 410 · 411 · 412 · 413 · 414 · 415 · 416 · 417 · 418 · 419 · 420 · 421 · 422 · 423 · 424 · 425 · 426 · 427 · 428 · 429 · 430 · 431 · 432 · 433 · 434 · 435 · 436 · 437 · 438 · 439 · 440 · 441 · 442 · 443 · 444 · 445 · 446 · 447 · 448 · 449 · 450 · 451 · 452 · 453 · 454 · 455 · 456 · 457 · 458 · 459 · 460 · 461 · 462 · 463 · 464 · 465 · 466 · 467 · 468 · 469 · 470 · 471 · 472 · 473 · 474 · 475 · 476 · 477 · 478 · 479 · 480 · 481 · 482 · 483 · 484 · 485 · 486 · 487 · 488 · 489 · 490 · 491 · 492 · 493 · 494 · 495 · 496 · 497 · 498 · 499 · 500 · 501 · 502 · 503 · 504 · 505 · 506 · 507 · 543 · 544 · 565 · 566 · 579 · 585 · 614 · 639 · 653 · 654 · 655 · 656 · 657 · 658 · 659 · 660 · 661 · 669 · 676 · 685 · 700 · 798 · 823 · 824 · 825 · 826 · 827 · 828 · 829 · 830 · 831 · 876 · 891 · 892 · 893 · 918 · 1071 · 1143 · 1152 · 1241 · 1253 · 1423 · 1424 · 1432 · 1582 · 1739 · 1780 · 1813 · 1834 · 2050 · 2053 · 2059 · 2060 · 2061 · 2062 · 2174 · 2268 · 2344 · 2423 · 2427 · 2437 · 2444 · 2445 · 2446 · 2460 · 2464 · 2491 · 2495 · 2612 · 2613 · 2614 · 2615 · 2616 · 2641 · 2754 · 2755 · 2756 · 2757 · 2766 · 2767 · 2768 · 2793 · 2802 · 2803 · 2804 · 2805 · 2806 · 2807 · 2808 · 2809 · 2810 · 2811 · 2812 · 2813 · 2814 · 2815 · 2816 · 2817 · 2818 · 2819 · 2820 · 2821 · 2855 · 2856 · 2857 · 2858 · 2859 · 2860 · 2861 · 2862 · 2863 · 2881 · 2882 · 2907 · 2965 ·
01 · 02 · 03 · 04 · 05 · 06 · 07 · 08 · 09 · 010 · 011 · 012 · 013 · 014 · 015 · 016 · 017 · 018 · 019 · 020 · 021 · 022 · 023 · 024 · 025 · 026 · 027 · 028 · 029 · 030 · 031 · 032 · 033 · 034 · 035 · 036 · 037 · 038 · 039 · 040 · 041 · 042 · 043 · 044 · 045 · 046 · 047 · 048 · 049 · 050 · 051 · 052 · 053 · 054 · 055 · 056 · 057 · 058 · 059 · 060 · 061 · 062 · 063 · 064 · 065 · 066 · 067 · 068 · 069 · 070 · 071 · 072 · 073 · 074 · 075 · 076 · 077 · 078 · 079 · 080 · 081 · 082 · 083 · 084 · 085 · 086 · 087 · 088 · 089 · 090 · 091 · 092 · 093 · 094 · 095 · 096 · 097 · 098 · 099 · 0100 · 0101 · 0102 · 0103 · 0104 · 0105 · 0106 · 0107 · 0108 · 0109 · 0110 · 0111 · 0112 · 0113 · 0114 · 0115 · 0116 · 0117 · 0118 · 0119 · 0120 · 0121 · 0122 · 0123 · 0124 · 0125 · 0126 · 0127 · 0128 · 0129 · 0130 · 0131 · 0132 · 0134 · 0135 · 0136 · 0137 · 0138 · 0139 · 0140 · 0141 · 0142 · 0143 · 0144 · 0145 · 0146 · 0147 · 0148 · 0149 · 0150 · 0151 · 0152 · 0153 · 0154 · 0155 · 0156 · 0157 · 0158 · 0159 · 0160 · 0161 · 0162 · 0163 · 0164 · 0165 · 0166 · 0167 · 0168 · 0169 · 0170 · 0171 · 0172 · 0173 · 0174 · 0175 · 0176 · 0177 · 0178 · 0179 · 0180 · 0181 · 0182 · 0183 · 0184 · 0185 · 0186 · 0187 · 0188 · 0189 · 0190 · 0191 · 0192 · 0193 · 0194 · 0195 · 0196 · 0197 · 0198 · 0199 · 0200 · 0201 · 0202 · 0203 · 0204 · 0205 · 0206 · 0207 · 0208 · 0209 · 0210 · 0211 · 0212 · 0213 · 0214 · 0215 · 0216 · 0217 · 0218 · 0219 · 0220 · 0221 · 0222 · 0223 · 0224 · 0225 · 0226 · 0227 · 0228 · 0229 · 0230 · 0231 · 0232 · 0234 · 0235 · 0236 · 0237 · 0238 · 0239 · 0240 · 0241 · 0242 · 0243 · 0244 · 0245 · 0246 · 0247 · 0248 · 0249 · 0250 · 0251 · 0252 · 0253 · 0254 · 0255 · 0256 · 0257 · 0258 · 0259 · 0260 · 0261 · 0262 · 0263 · 0264 · 0265 · 0266 · 0267 · 0268 · 0269 · 0270 · 0271 · 0272 · 0273 · 0274 · 0275 · 0276 · 0277 · 0278 · 0279 · 0280 · 0281 · 0282 · 0283 · 0284 · 0285 · 0286 · 0287 · 0288 · 0289 · 0290 · 0291 · 0292 · 0293 · 0294 · 0295 · 0296 · 0297 · 0298 · 0299 · 0300 · 0301 · 0302 · 0303 · 0304 · 0305 · 0306 · 0307 · 0308 · 0309 · 0310 · 0311 · 0312 · 0313 · 0314 · 0315 · 0316 · 0317 · 0318 · 0319 · 0320 · 0321 · 0322 · 0323 ·
List of New Testament lectionaries
1 · 2 · 3 · 4 · 5 · 6 · 7 · 8 · 9 · 10 · 11 · 12 · 13 · 14 · 15 · 16 · 17 · 18 · 19 · 20 · 21 · 22 · 23 · 24 · 25 · 25b · 26 · 27 · 28 · 29 · 30 · 31 · 32 · 33 · 34 · 35 · 36 · 37 · 38 · 39 · 40 · 41 · 42 · 43 · 44 · 45 · 46 · 47 · 48 · 49 · 50 · 51 · 52 · 53 · 54 · 55 · 56 · 57 · 58 · 59 · 60 · 61 · 62 · 63 · 64 · 65 · 66 · 67 · 68 · 69 · 70 · 71 · 72 · 73 · 74 · 75 · 76 · 77 · 78 · 79 · 80 · 81 · 82 · 83 · 84 · 85 · 86 · 87 · 88 · 89 · 90 · 91 · 92 · 93 · 94 · 95 · 96 · 97 · 98 · 99 · 100 · 101 · 102 · 103 · 104 · 105 · 106 · 107 · 108 · 109 · 110 · 111 · 112 · 113 · 114 · 115 · 116 · 117 · 118 · 119 · 120 · 121 · 122 · 123 · 124 · 125 · 126 · 127 · 128 · 129 · 130 · 131 · 132 · 133 · 134 · 135 · 136 · 137 · 138 · 139 · 140 · 141 · 142 · 143 · 144 · 145 · 146 · 147 · 148 · 149 · 150 · 151 · 152 · 153 · 154 · 155 · 156 · 157 · 158 · 159 · 160 · 161 · 162 · 163 · 164 · 165 · 166 · 167 · 168 · 169 · 170 · 171 · 172 · 173 · 174 · 175 · 176 · 177 · 178 · 179 · 180 · 181 · 182 · 183 · 184 · 185 · 186 · 187 · 188 · 189 · 190 · 191 · 192 · 193 · 194 · 195 · 196 · 197 · 198 · 199 · 200 · 201 · 202 · 203 · 204 · 205 · 206a · 206b · 207 · 208 · 209 · 210 · 211 · 212 · 213 · 214 · 215 · 216 · 217 · 218 · 219 · 220 · 221 · 222 · 223 · 224 · 225 · 226 · 227 · 228 · 229 · 230 · 231 · 232 · 233 · 234 · 235 · 236 · 237 · 238 · 239 · 240 · 241 · 242 · 243 · 244 · 245 · 246 · 247 · 248 · 249 · 250 · 251 · 252 · 253 · 254 · 255 · 256 · 257 · 258 · 259 · 260 · 261 · 262 · 263 · 264 · 265 · 266 · 267 · 268 · 269 · 270 · 271 · 272 · 273 · 274 · 275 · 276 · 277 · 278 · 279 · 280 · 281 · 282 · 283 · 284 · 285 · 286 · 287 · 288 · 289 · 290 · 291 · 292 · 293 · 294 · 295 · 296 · 297 · 298 · 299 · 300 · 301 · 302 · 303 · 304 · 305 · 306 · 307 · 308 · 309 · 310 · 311 · 312 · 313 · 314 · 315 · 316 · 317 · 318 · 319 · 320 · 321 · 322 · 323 · 324 · 325 · 326 · 327 · 328 · 329 · 330 · 331 · 332 · 368 · 449 · 451 · 501 · 502 · 542 · 560 · 561 · 562 · 563 · 564 · 648 · 649 · 809 · 965 · 1033 · 1358 · 1386 · 1491 · 1423 · 1561 · 1575 · 1598 · 1599 · 1602 · 1604 · 1614 · 1619 · 1623 · 1637 · 1681 · 1682 · 1683 · 1684 · 1685 · 1686 · 1691 · 1813 · 1839 · 1965 · 1966 · 1967 · 2005 · 2137 · 2138 · 2139 · 2140 · 2141 · 2142 · 2143 · 2144 · 2145 · 2164 · 2208 · 2210 · 2211 · 2260 · 2261 · 2263 · 2264 · 2265 · 2266 · 2267 · 2276 · 2307 · 2321 · 2352 · 2404 · 2405 · 2406 · 2411 · 2412 ·
See Also: New Testament |
|---|
See Also: Old Testament |
|---|

